A Kesjár Flora Kft. által forgalomba hozott vetőmagok megfelelnek az 55/2002. sz. EU direktívának, a 2003. évi LII. Vetőmagnövénynek valamint az 50/2004-es FVM rendeletnek. A forgalmazott vetőmagtételekhez vetőmag minősítési bizonyítvány nem kerül kibocsátásra, mivel minden tasakon feltüntetjük az előírt információkat.
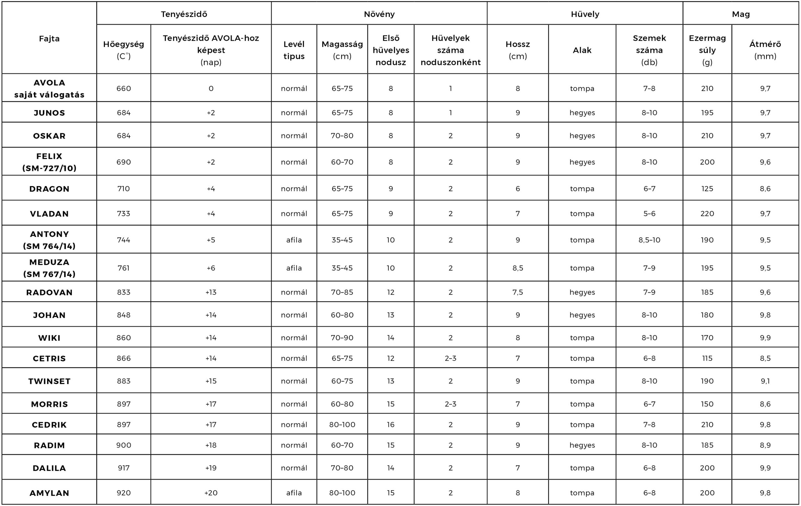
Junos borsó vetőmag
1.800 Ft – 2.850 Ft
Nagyon korai borsó, 70 – 80 cm magasra nő, szára erős, szilárd, levele sötét, hüvelye hosszú, karcsú, ívelt, éles végű, 10 – 12 szem, HTS 200 g.
A fajta elsősorban kézi betakarításra szolgál, de gépesített betakarításra is alkalmas.
Csávázatlan vetőmag.
TERMESZTÉSI PARAMÉTEREK
| Vetés, kiültetés: 900-1200 ezer tő/ha |
| Vetőmag mennyisége: 170-300 kg/ha |
| Ezermagsúly: 180-240 gramm |
| Magszám: 4-5 db/gramm |
| Vetés mélység: 5-8 cm |
| Vetés ideje: III.-IV. hó |
| Kiültetés ideje: IV.-V. hó |
| Tenyészterület:12×5 cm |
| Csírázási idő: 6-8 nap |
Nagyobb zsákos kiszerelési egységekre kérem kérjen egyedi árajánlatot elérhetőségeinken:
vetomag@kesjarflora.hu vagy +36306857272 telefonszámon
Egységár:
0,5 kg kiszerelés: 3600,00Ft/ kg
1 kg kiszerelés: 2850,00 Ft / kg
Csávázatlan vetőmag.
ÁLTALÁNOS ÉRTÉKESÍTÉSI ÉS SZÁLLÍTÁSI FELTÉTELEK
1. Általános feltételek
Jelen szerződési feltételek a Kesjár Flora Kft.(továbbiakban Eladó) valamennyi üzleti kapcsolatában érvényesek, azok külön megállapodás nélkül is részét képezi a Kesjár Flora Kft. által kötött valamennyi szerződésnek. Jelen üzleti feltételektől a felek kölcsönös egyetértése esetén, írásban lehet érvényesen elérni. Az általános feltételek nem ismerete, vagy annak figyelmen hagyása, nem mentesíti a Vevőt annak hatálya alól. Vevői megrendelés szóbeli vagy írásbeli leadása, illetve az áru vagy számla átvétele egyben annak elismerése, hogy a Vevő az általános feltételeket elismerte és azokat magára nézve kötelezőnek ismeri el és, hogy azok érvényesek a további szállításkora és üzleti kapcsolatokra is.
2. Ajánlatok és megállapodások
A Kesjár Flora Kft. által tett ajánlattétel nem jelent szerződési kötelezettséget, az jogkövetkezmények nélkül visszavonható. Az árajánlatban, árlistában megadott árak az ÁFA-t nem tartalmazzák. Új árlista kibocsátásával az előző érvényét veszíti. A terméskiesés és árfolyamváltozásból adódó árváltozás jogát a Kesjár Flora Kft. fenntartja, amit megrendeléskor minden esetben közöl. Az elfogadott ajánlatokat a Kft. az elfogadást követő 5 napon belüli jogkövetkezmények nélkül visszavonhatja. A Kesjár Flora Kft. vetőmagjai saját költségére készített csomagolásban kerülnek forgalomba. Az árlistától eltérő kiszerelés és kezelés költségei a Vevőt terhelik
3. Szállítás
A szállítás a Kesjár Flora Kft. telephelyéről, a Vevő költségére és kockázatásra történik. Amennyiben megállapodás keretében a vevő a Kesjár Flora Kft.-t bízza meg a szállítással, az Eladó köteles a legésszerűbb megoldást választani. Az Eladó köteles a megállapodásban rögzített határidőn belül és a vetési vagy ültetési időszakot figyelembe véve megfelelő időpontban szállítani, ennek ellenére nem alkalmazható a szerződésszegés jogkövetkezménye vele szemben, ha határidőn túl, de még a vetési és ültetési időszakon belül szállít. Az Eladó jogosult a vetőmag részletekben való szállítására, és azok részletekben való leszámlázására. A szokásos vetésidőn túli szállítási késedelemről az eladó köteles a Vevőt tájékoztatni és a Vevő a megrendeléstől jogkövetkezmény nélkül elállhat- ilyen esetben a Vevő az Eladóval szemben semmilyen igényt nem támaszt. A megrendelt áru Vevő fuvarozójának történő átadásával teljesítettnek minősül, a fuvarozásból adódó késedelemért és kockázatért Eladó nem felelős.
4. Tulajdonjog
Az Eladó által leszállított termékek mindaddig az Eladó tulajdonát képezik, amíg a Vevő a vételi összeget ki nem fizeti. Vevő nincsen felhatalmazva arra, hogy a termékeket elzálogosítsák, vagy bármilyen más ezekre vonatkozó követelést elismerjen. A vevő felelőssége a sikkasztásra vonatkozó jogszabályok szerint áll fenn.
5. Fizetés
Amennyiben a Felek másképpen nem állapodtak meg, a fizetés utánvétel esetén az áru átvételekor, átutalás esetén a számla keltétől számított 15 napon belül esedékes. Amennyiben a Vevő fenti határidőt túllépi, fizetési késedelembe esik. Késedelmes fizetés esetén a Vevő mindenkori jegybanki alapkamat kétszeresének megfelelő késedelmi kamatot köteles fizetni. A Vevő felszámolás, fizetésképtelensége vagy fizetéseinek beszüntetése esetén a fizetés azonnal esedékessé és válik.
Amennyiben a vevő jogi személy és felszámolás alatt áll vagy fizetésképtelen, úgy jelen okiratot aláíró és jogi személy törvényes képviselőjének felelőssége egyetemleges és mögöttes felelősségű, s ezt a jelen okirat aláírásával is tudomásul veszi.
Az Eladó jogosult a Vevővel kötött bármilyen megállapodástól való elállásra vagy felmondásra anélkül, hogy csorbulna Eladónak azon joga, hogy kártérítéssel vagy bármilyen egyéb jogorvoslattal éljen. Amennyiben a Felek részletfizetésben állapodtak meg, és a Vevő elmulaszt egy határidőt, a fennmaradó teljes összeg további felszólítás nélkül azonnal esedékessé és kamatterhessé válik és a késedelmes fizetés jogkövetkezményei alkalmazandók. Vevő fizetési biztonságának bizonyságául a Kesjár Flora Kft. a szállítási feltételéül megfelelő biztosítékot kérhet, például: bankgarancia, jelzálog stb. formájában, amelyek teljesüléséig szállításait visszatarthatja, illetve késleltetheti. Kesjár Flora Kft. jelen általános szerződési feltételrendszere mindaddig érvényben van, amíg azt nem módosítja. A vevő tudomásul veszi, a követelés behajtásával járó költségek, és az előírt késedelmi kamatok egyaránt a vevőt terhelik.
7. Termesztési tanácsok
Eladó kijelenti, hogy az általa szállított áruk legjobb ismerete szerint megfelelnek a vonatkozó termékleírásának. A termékleírások azonban nem azonosak a garanciális leírásokkal, ezért azok nem tekinthetők mindenre kiterjedő információnak. Eladó nem felel azért, hogy a termék megfelel-e a Vevő céljainak és elvárásainak. Az Eladó által esetlegesen megadott csíraképességi adatok kizárólag megismételhető laboratóriumi vizsgálatokra irányadók. A megadott csírázási adatok az adott csíráztatási időpontra és csíráztatási körülményekre vonatkoznak. Vevő csíráztatási és termesztési körülményei (többek között a helyi adottságok, technológia, klímaszabályozás stb.) lényegesen befolyásolhatják felhasználónál a tényleges csírázási eredményeket, amire a Vevőnek figyelemmel kell lennie. Eladó minden felelőssége megszűnik, ha Vevő vagy harmadik személy a terméket nem megfelelően használja fel, feldolgozza, kezeli, újracsomagolja, nem előírások szerint tárolja.
Kesjár Flora Kft. által közölt bármely szóbeli és írásbeli információ, technológiai és fajta tanácsok kísérleteken és tapasztalatokon alapulnak, amelyek kedvező termesztési feltételek között készültek. Az azonos eredmények nem garantálhatók minden termesztési feltétel között. A Vevő/felhasználó dolga eldönteni, hogy a közölt információk a helyi termesztési viszonyok között felhasználhatók-e.
8. Védjegyek, fajtavédelem
Vevő által nem megengedett az olyan vagy ahhoz hasonló márkák, védjegyek és jelek használata, amelyeket Eladó használ áruinak megkülönbözetése céljából. Kivétel ez alól az Eladó által kiszerelt eredeti csomagolású, Vevő által megvásárolt áru. A Kesjár Flora Kft. által forgalomba hozott vetőmagok rendeltetésszerűen árutermelés vagy önellátás, illetve hobbi termelés céljára használhatók, továbbszaporításuk nem megengedett, az jogkövetkezményekkel jár. Nem megfelelő használatért Kesjár Flora Kft. nem felel (beleértve a szakszerűtlen tárolást is).
9. Vis major
Vis major alatt a megállapodás teljesítését akadályozó vagy gátló körülményeket értjük, melyeket az Eladó nem képes befolyásolni, vagy amelyek túlságosan akadályozzák vagy gátolják a teljesítést. Ide tartoznak a sztrájkok, földrengések, a szükséges anyagok általános hiánya, előre nem látható termékkiesés olyan eladóknál és /vagy harmadik feleknél, amelyektől az Eladó függ, valamint általános szállítási problémák. A vis majornál az Eladó köteles a Vevőt a lehető leggyorsabban értesíteni. Mindkét szerződő félnek jogában áll a megállapodás felbontása, ha a vis major két hónapnál tovább tart. Az Eladó ilyen esetekben azonban semmiféle kártérítésre nem kötelezhető.
10. Vitás ügyek rendezése
Ha a szerződő Felek nem állapodtak meg választott bírói eljárásban, netáni viták, perek esetére a Szolnoki Törvényszék illetve a Szolnoki Városi Bíróság bír- értékhatártól függően. Ha a jelen ÁÉSZF valamely pontja, vagy kivétele törvényi előírással érvénytelenné válna, helyébe a lehető legközelebbi rávonatkozó törvényi szabályozás lép. Felek-, ha szükséges- az új szabályozás szövegét méltányos megállapodás /tárgyalás során elfogadják. Minden egyéb új törvényi szabályozással nem érintett általános feltétel változatlan marad. Jelen általános feltételekben nem szabályozott kérdésekben a Ptk. rendelkezési az irányadók.
Kapcsolódó termékek
Albena futóbab vetőmag
2.600 Ft – 12.000 Ft
Opciók választása
Ennek a terméknek több variációja van. A változatok a termékoldalon választhatók ki
TERMESZTÉSI PARAMÉTEREK:
|
Vetés, kiültetés: 0,651,2 ezer tő/ha |
|
Bab vetőmag mennyisége: 165-219 kg/ha |
|
Ezermagtömege: 1000-1400 gramm |
|
Magszám: 1,4-1,6 db/gramm |
|
Vetésmélység: 4-10 cm |
|
Tenyészterület: 60x6 cm |
|
Csírázási idő: 5-7 nap |
Ambrosia Cukorborsó vetőmag
2.500 Ft – 4.800 Ft
Opciók választása
Ennek a terméknek több variációja van. A változatok a termékoldalon választhatók ki
TERMESZTÉSI PARAMÉTEREK
| Vetés, kiültetés: 900-1200 ezer tő/ha |
| Vetőmag mennyisége: 170-300 kg/ha |
| Ezermagsúly: 170-180 gramm |
| Magszám: 4-5 db/gramm |
| Vetés mélység: 5-8 cm |
| Vetés ideje: III.-IV. hó |
| Kiültetés ideje: IV.-V. hó |
| Tenyészterület:12×5 cm |
| Csírázási idő: 6-8 nap |
Maxidor bab vetőmag
4.400 Ft – 38.500 Ft
Opciók választása
Ennek a terméknek több variációja van. A változatok a termékoldalon választhatók ki
A Maxidor bokorbab melegkedvelő, napos környezetet igénylő fajta.
A hüvelyek és a magvak sok fehérjét, valamint A és E vitaminokat tartalmaznak.
Bokorbab 50-40 cm magas, középzöld színű, közepes levélméretű bokorbab. A sárga színű hüvelyek 11-12 cm hosszúak, kerek keresztmetszetűek, szálka- és membrán-mentesek. A hüvelyek szélessége 9-7 mm és vastagsága 8-8,5 mm. Középérésű. A zöldhüvelyek érése: 60-65 nap. Vetés: április-májusban, amikor már 10 fok fölé emelkedik a hőmérséklet, fagyra érzékeny. Javasolt sortávolság 40 cm. Folyóméterenként kb. 8-10 magot kell vetni, 3 cm mélyre. Fészkesen is vethető, 3-4 szemenként. Vetőmagszükséglet: 80-120g/10 m2. Friss fogyasztásra, házi mélyhűtésre javasolt. Hűtő- és konzervipari feldolgozásra is alkalmasak.TERMESZTÉSI PARAMÉTEREK:
| Vetés, kiültetés: 0,651,2 ezer tő/ha |
| Bab vetőmag mennyisége: 165-219 kg/ha |
| Ezermagtömege: 280-400 gramm |
| Magszám: 1,4-1,6 db/gramm |
| Vetésmélység: 4-6 cm |
| Tenyészterület: 60×6 cm |
| Csírázási idő: 5-7 nap |
Oskar (Karlos) borsó vetőmag
1.995 Ft – 46.000 Ft
Opciók választása
Ennek a terméknek több variációja van. A változatok a termékoldalon választhatók ki
Az Oskar, (előző nevén Karlos) nagyon korai borsófajta.
A növekedés eléri a 60-80 cm magasságot, a növények erősek, dús levelűek, világoszöld levelekkel.
A hüvely körülbelül 10 cm hosszú, éles végű, ívelt, a hüvelyben 10-12 szem található. Szemcse nagy, sötétzöld.
Kertészeknek (hosszú hüvelyű, nagy szemű) és nagytermesztőknek (minőségi alapanyag fagyasztóba, konzervgyárba) alkalmas.
Csávázatlan vetőmag
TERMESZTÉSI PARAMÉTEREK
| Vetés, kiültetés: 900-1200 ezer tő/ha |
| Vetőmag mennyisége: 170-300 kg/ha |
| Ezermagsúly: 180-240 gramm |
| Magszám: 4-5 db/gramm |
| Vetés mélység: 5-8 cm |
| Vetés ideje: III.-IV. hó |
| Kiültetés ideje: IV.-V. hó |
| Tenyészterület:12×5 cm |
| Csírázási idő: 6-8 nap |
Petronila szárazbab vetőmag
1.500 Ft – 6.500 Ft
Opciók választása
Ennek a terméknek több variációja van. A változatok a termékoldalon választhatók ki
TERMESZTÉSI PARAMÉTEREK:
| Vetés, kiültetés: 400-600 ezer tő/ha |
| Bab vetőmag mennyisége: 76-138 kg/ha |
| Ezermagsúly: 190-230 gramm |
| Magszám: 4-5 db/gramm |
| Vetésmélység: 4-7 cm |
| Tenyészterület: 40x6 cm |
| Csírázási idő: 5-7 nap |
Radim zöldborsó vetőmag
1.800 Ft – 2.850 Ft
Opciók választása
Ennek a terméknek több variációja van. A változatok a termékoldalon választhatók ki
TERMESZTÉSI PARAMÉTEREK
| Vetés, kiültetés: 900-1200 ezer tő/ha |
| Vetőmag mennyisége: 170-300 kg/ha |
| Ezermagsúly: 180-240 gramm |
| Magszám: 4-5 db/gramm |
| Vetés mélység: 5-8 cm |
| Vetés ideje: III.-IV. hó |
| Kiültetés ideje: IV.-V. hó |
| Tenyészterület:12×5 cm |
| Csírázási idő: 6-8 nap |
