A Kesjár Flora Kft. által forgalomba hozott vetőmagok megfelelnek az 55/2002. sz. EU direktívának, a 2003. évi LII. Vetőmagnövénynek valamint az 50/2004-es FVM rendeletnek. A forgalmazott vetőmagtételekhez vetőmag minősítési bizonyítvány nem kerül kibocsátásra, mivel minden tasakon feltüntetjük az előírt információkat.
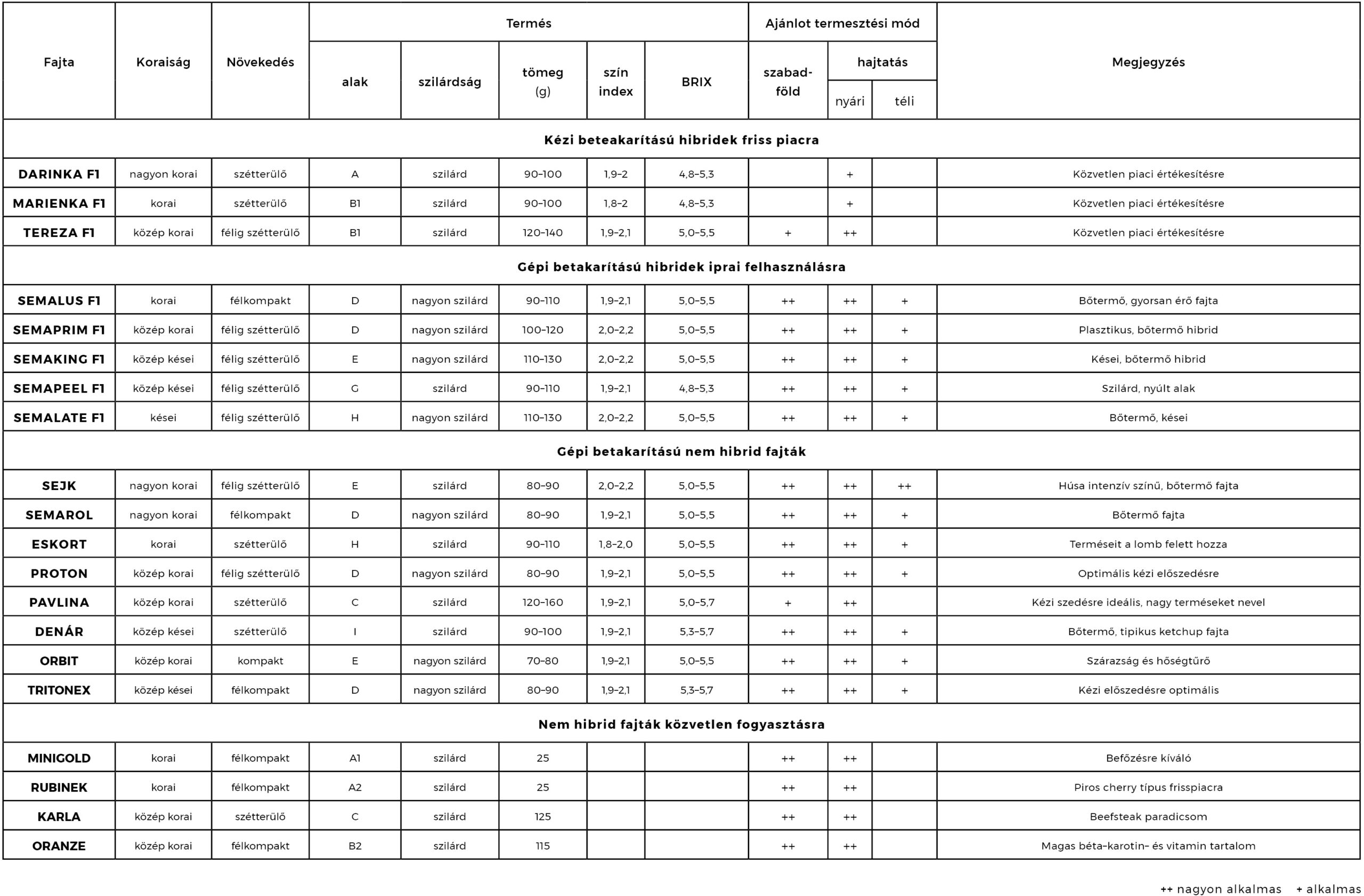
Tereza F1 paradicsom vetőmag
1.800 Ft – 7.920 Ft
Középkorai, 130-150 gramm bogyótömegű, lapított bogyójú frisspiaci fajta. Kézi szedésre kiváló. Nagyon jól bírja a melegebb napokat.
paradicsom vetőmag ~ 345-435 szem/gramm
|
Vetés, kiültetés: 80-120 ezer tő/ha |
|
Paradicsom vetőmag mennyisége: 0,4-0,8 kg/ha |
|
Ezermagsúly: 2,3-2,9 gramm |
|
Magszám: 345-435 db/gramm |
|
Vetésmélység: 1-2 cm |
|
Vetés ideje: III.-IV. hó |
|
Kiültetés ideje: V. hó |
|
Tenyészterület: 100x50x40 cm |
|
Csírázási idő: 8-12 nap |
Egységár:
100 szem kiszerelés: 18,00 Ft / db
500 szem kiszerelés: 7,92 Ft / db
1000 szem kiszerelés: 7,92 Ft / db
ÁLTALÁNOS ÉRTÉKESÍTÉSI ÉS SZÁLLÍTÁSI FELTÉTELEK
1. Általános feltételek
Jelen szerződési feltételek a Kesjár Flora Kft.(továbbiakban Eladó) valamennyi üzleti kapcsolatában érvényesek, azok külön megállapodás nélkül is részét képezi a Kesjár Flora Kft. által kötött valamennyi szerződésnek. Jelen üzleti feltételektől a felek kölcsönös egyetértése esetén, írásban lehet érvényesen elérni. Az általános feltételek nem ismerete, vagy annak figyelmen hagyása, nem mentesíti a Vevőt annak hatálya alól. Vevői megrendelés szóbeli vagy írásbeli leadása, illetve az áru vagy számla átvétele egyben annak elismerése, hogy a Vevő az általános feltételeket elismerte és azokat magára nézve kötelezőnek ismeri el és, hogy azok érvényesek a további szállításkora és üzleti kapcsolatokra is.
2. Ajánlatok és megállapodások
A Kesjár Flora Kft. által tett ajánlattétel nem jelent szerződési kötelezettséget, az jogkövetkezmények nélkül visszavonható. Az árajánlatban, árlistában megadott árak az ÁFA-t nem tartalmazzák. Új árlista kibocsátásával az előző érvényét veszíti. A terméskiesés és árfolyamváltozásból adódó árváltozás jogát a Kesjár Flora Kft. fenntartja, amit megrendeléskor minden esetben közöl. Az elfogadott ajánlatokat a Kft. az elfogadást követő 5 napon belüli jogkövetkezmények nélkül visszavonhatja. A Kesjár Flora Kft. vetőmagjai saját költségére készített csomagolásban kerülnek forgalomba. Az árlistától eltérő kiszerelés és kezelés költségei a Vevőt terhelik
3. Szállítás
A szállítás a Kesjár Flora Kft. telephelyéről, a Vevő költségére és kockázatásra történik. Amennyiben megállapodás keretében a vevő a Kesjár Flora Kft.-t bízza meg a szállítással, az Eladó köteles a legésszerűbb megoldást választani. Az Eladó köteles a megállapodásban rögzített határidőn belül és a vetési vagy ültetési időszakot figyelembe véve megfelelő időpontban szállítani, ennek ellenére nem alkalmazható a szerződésszegés jogkövetkezménye vele szemben, ha határidőn túl, de még a vetési és ültetési időszakon belül szállít. Az Eladó jogosult a vetőmag részletekben való szállítására, és azok részletekben való leszámlázására. A szokásos vetésidőn túli szállítási késedelemről az eladó köteles a Vevőt tájékoztatni és a Vevő a megrendeléstől jogkövetkezmény nélkül elállhat- ilyen esetben a Vevő az Eladóval szemben semmilyen igényt nem támaszt. A megrendelt áru Vevő fuvarozójának történő átadásával teljesítettnek minősül, a fuvarozásból adódó késedelemért és kockázatért Eladó nem felelős.
4. Tulajdonjog
Az Eladó által leszállított termékek mindaddig az Eladó tulajdonát képezik, amíg a Vevő a vételi összeget ki nem fizeti. Vevő nincsen felhatalmazva arra, hogy a termékeket elzálogosítsák, vagy bármilyen más ezekre vonatkozó követelést elismerjen. A vevő felelőssége a sikkasztásra vonatkozó jogszabályok szerint áll fenn.
5. Fizetés
Amennyiben a Felek másképpen nem állapodtak meg, a fizetés utánvétel esetén az áru átvételekor, átutalás esetén a számla keltétől számított 15 napon belül esedékes. Amennyiben a Vevő fenti határidőt túllépi, fizetési késedelembe esik. Késedelmes fizetés esetén a Vevő mindenkori jegybanki alapkamat kétszeresének megfelelő késedelmi kamatot köteles fizetni. A Vevő felszámolás, fizetésképtelensége vagy fizetéseinek beszüntetése esetén a fizetés azonnal esedékessé és válik.
Amennyiben a vevő jogi személy és felszámolás alatt áll vagy fizetésképtelen, úgy jelen okiratot aláíró és jogi személy törvényes képviselőjének felelőssége egyetemleges és mögöttes felelősségű, s ezt a jelen okirat aláírásával is tudomásul veszi.
Az Eladó jogosult a Vevővel kötött bármilyen megállapodástól való elállásra vagy felmondásra anélkül, hogy csorbulna Eladónak azon joga, hogy kártérítéssel vagy bármilyen egyéb jogorvoslattal éljen. Amennyiben a Felek részletfizetésben állapodtak meg, és a Vevő elmulaszt egy határidőt, a fennmaradó teljes összeg további felszólítás nélkül azonnal esedékessé és kamatterhessé válik és a késedelmes fizetés jogkövetkezményei alkalmazandók. Vevő fizetési biztonságának bizonyságául a Kesjár Flora Kft. a szállítási feltételéül megfelelő biztosítékot kérhet, például: bankgarancia, jelzálog stb. formájában, amelyek teljesüléséig szállításait visszatarthatja, illetve késleltetheti. Kesjár Flora Kft. jelen általános szerződési feltételrendszere mindaddig érvényben van, amíg azt nem módosítja. A vevő tudomásul veszi, a követelés behajtásával járó költségek, és az előírt késedelmi kamatok egyaránt a vevőt terhelik.
7. Termesztési tanácsok
Eladó kijelenti, hogy az általa szállított áruk legjobb ismerete szerint megfelelnek a vonatkozó termékleírásának. A termékleírások azonban nem azonosak a garanciális leírásokkal, ezért azok nem tekinthetők mindenre kiterjedő információnak. Eladó nem felel azért, hogy a termék megfelel-e a Vevő céljainak és elvárásainak. Az Eladó által esetlegesen megadott csíraképességi adatok kizárólag megismételhető laboratóriumi vizsgálatokra irányadók. A megadott csírázási adatok az adott csíráztatási időpontra és csíráztatási körülményekre vonatkoznak. Vevő csíráztatási és termesztési körülményei (többek között a helyi adottságok, technológia, klímaszabályozás stb.) lényegesen befolyásolhatják felhasználónál a tényleges csírázási eredményeket, amire a Vevőnek figyelemmel kell lennie. Eladó minden felelőssége megszűnik, ha Vevő vagy harmadik személy a terméket nem megfelelően használja fel, feldolgozza, kezeli, újracsomagolja, nem előírások szerint tárolja.
Kesjár Flora Kft. által közölt bármely szóbeli és írásbeli információ, technológiai és fajta tanácsok kísérleteken és tapasztalatokon alapulnak, amelyek kedvező termesztési feltételek között készültek. Az azonos eredmények nem garantálhatók minden termesztési feltétel között. A Vevő/felhasználó dolga eldönteni, hogy a közölt információk a helyi termesztési viszonyok között felhasználhatók-e.
8. Védjegyek, fajtavédelem
Vevő által nem megengedett az olyan vagy ahhoz hasonló márkák, védjegyek és jelek használata, amelyeket Eladó használ áruinak megkülönbözetése céljából. Kivétel ez alól az Eladó által kiszerelt eredeti csomagolású, Vevő által megvásárolt áru. A Kesjár Flora Kft. által forgalomba hozott vetőmagok rendeltetésszerűen árutermelés vagy önellátás, illetve hobbi termelés céljára használhatók, továbbszaporításuk nem megengedett, az jogkövetkezményekkel jár. Nem megfelelő használatért Kesjár Flora Kft. nem felel (beleértve a szakszerűtlen tárolást is).
9. Vis major
Vis major alatt a megállapodás teljesítését akadályozó vagy gátló körülményeket értjük, melyeket az Eladó nem képes befolyásolni, vagy amelyek túlságosan akadályozzák vagy gátolják a teljesítést. Ide tartoznak a sztrájkok, földrengések, a szükséges anyagok általános hiánya, előre nem látható termékkiesés olyan eladóknál és /vagy harmadik feleknél, amelyektől az Eladó függ, valamint általános szállítási problémák. A vis majornál az Eladó köteles a Vevőt a lehető leggyorsabban értesíteni. Mindkét szerződő félnek jogában áll a megállapodás felbontása, ha a vis major két hónapnál tovább tart. Az Eladó ilyen esetekben azonban semmiféle kártérítésre nem kötelezhető.
10. Vitás ügyek rendezése
Ha a szerződő Felek nem állapodtak meg választott bírói eljárásban, netáni viták, perek esetére a Szolnoki Törvényszék illetve a Szolnoki Városi Bíróság bír- értékhatártól függően. Ha a jelen ÁÉSZF valamely pontja, vagy kivétele törvényi előírással érvénytelenné válna, helyébe a lehető legközelebbi rávonatkozó törvényi szabályozás lép. Felek-, ha szükséges- az új szabályozás szövegét méltányos megállapodás /tárgyalás során elfogadják. Minden egyéb új törvényi szabályozással nem érintett általános feltétel változatlan marad. Jelen általános feltételekben nem szabályozott kérdésekben a Ptk. rendelkezési az irányadók.
Kapcsolódó termékek
Bejbino F1 koktélparadicsom vetőmag
6.000 Ft – 36.380 Ft
Opciók választása
Ennek a terméknek több variációja van. A változatok a termékoldalon választhatók ki
Csávázatlan vetőmag.
|
Vetés, kiültetés: 80-120 ezer tő/ha |
|
Paradicsom vetőmag mennyisége: 0,4-0,8 kg/ha |
|
Ezermagsúly: 2,3-2,9 gramm |
|
Magszám: 345-435 db/gramm |
|
Vetésmélység: 1-2 cm |
|
Vetés ideje: III.-IV. hó |
|
Kiültetés ideje: V. hó |
|
Tenyészterület: 100x50x40 cm |
|
Csírázási idő: 8-12 nap |
Datlo koktél paradicsom vetőmag
4.900 Ft – 28.900 Ft
Opciók választása
Ennek a terméknek több variációja van. A változatok a termékoldalon választhatók ki
|
Vetés, kiültetés: 80-120 ezer tő/ha |
|
Paradicsom vetőmag mennyisége: 0,4-0,8 kg/ha |
|
Ezermagsúly: 2,3-2,9 gramm |
|
Magszám: 345-435 db/gramm |
|
Vetésmélység: 1-2 cm |
|
Vetés ideje: III.-IV. hó |
|
Kiültetés ideje: V. hó |
|
Tenyészterület: 100x50x40 cm |
|
Csírázási idő: 8-12 nap |
Jergus F1 paradicsom vetőmag
4.000 Ft – 26.760 Ft
Opciók választása
Ennek a terméknek több variációja van. A változatok a termékoldalon választhatók ki
TERMESZTÉSI PARAMÉTEREK:
|
Vetés, kiültetés: 80-120 ezer tő/ha |
|
Paradicsom vetőmag mennyisége: 0,4-0,8 kg/ha |
|
Ezermagsúly: 2,3-2,9 gramm |
|
Magszám: 345-435 db/gramm |
|
Vetésmélység: 1-2 cm |
|
Vetés ideje: III.-IV. hó |
|
Kiültetés ideje: V. hó |
|
Tenyészterület: 100x50x40 cm |
|
Csírázási idő: 8-12 nap |
Karla paradicsom vetőmag
2.000 Ft – 6.420 Ft
Opciók választása
Ennek a terméknek több variációja van. A változatok a termékoldalon választhatók ki
A Karla bokorparadicsom egy középkorai fajta, nagyon kompakt, alacsony bokorral.
Nagy, gömb alakú gyümölcsöket terem – az úgynevezett beefsteak típusú paradicsomot.
|
Vetés, kiültetés: 80-120 ezer tő/ha |
|
Paradicsom vetőmag mennyisége: 0,4-0,8 kg/ha |
|
Ezermagsúly: 2,3-2,9 gramm |
|
Magszám: 345-435 db/gramm |
|
Vetésmélység: 1-2 cm |
|
Vetés ideje: III.-IV. hó |
|
Kiültetés ideje: V. hó |
|
Tenyészterület: 100x50x40 cm |
|
Csírázási idő: 8-12 nap |
Mini koktél paradicsom vetőmag
4.000 Ft – 26.760 Ft
Opciók választása
Ennek a terméknek több variációja van. A változatok a termékoldalon választhatók ki
Csávázatlan vetőmag.
|
Vetés, kiültetés: 80-120 ezer tő/ha |
|
Paradicsom vetőmag mennyisége: 0,4-0,8 kg/ha |
|
Ezermagsúly: 2,3-2,9 gramm |
|
Magszám: 345-435 db/gramm |
|
Vetésmélység: 1-2 cm |
|
Vetés ideje: III.-IV. hó |
|
Kiültetés ideje: V. hó |
|
Tenyészterület: 100x50x40 cm |
|
Csírázási idő: 8-12 nap |
Niki zel F1 Paradicsom
4.000 Ft – 26.760 Ft
Opciók választása
Ennek a terméknek több variációja van. A változatok a termékoldalon választhatók ki
Paradicsom vetőmag
A Niki Zel F1 egy korai alacsonyabb növekedésű korai karós paradicsom fajta. A gyümölcsök enyhén lapított gömb alakúak. 70-90 grammosak / termés Alkalmas üvegházban, illetve szabadföldön történő termesztésre is. Zöldség vetőmag katalógusunkat IDE kattintva nézheti meg.Csávázatlan vetőmag.
TERMESZTÉSI PARAMÉTEREK:
|
Vetés, kiültetés: 80-120 ezer tő/ha |
|
Paradicsom vetőmag mennyisége: 0,4-0,8 kg/ha |
|
Ezermagsúly: 2,3-2,9 gramm |
|
Magszám: 345-435 db/gramm |
|
Vetésmélység: 1-2 cm |
|
Vetés ideje: III.-IV. hó |
|
Kiültetés ideje: V. hó |
|
Tenyészterület: 100x50x40 cm |
|
Csírázási idő: 8-12 nap |
Limitált mennyiségben elérhető!
Oranze paradicsom vetőmag
2.000 Ft – 6.420 Ft
Opciók választása
Ennek a terméknek több variációja van. A változatok a termékoldalon választhatók ki
Csávázatlan vetőmag.
|
Vetés, kiültetés: 80-120 ezer tő/ha |
|
Paradicsom vetőmag mennyisége: 0,4-0,8 kg/ha |
|
Ezermagsúly: 2,3-2,9 gramm |
|
Magszám: 345-435 db/gramm |
|
Vetésmélység: 1-2 cm |
|
Vetés ideje: III.-IV. hó |
|
Kiültetés ideje: V. hó |
|
Tenyészterület: 100x50x40 cm |
|
Csírázási idő: 8-12 nap |
Semarol paradicsom vetőmag
1.500 Ft – 4.000 Ft
Opciók választása
Ennek a terméknek több variációja van. A változatok a termékoldalon választhatók ki
|
Vetés, kiültetés: 80-120 ezer tő/ha |
|
Paradicsom vetőmag mennyisége: 0,4-0,8 kg/ha |
|
Ezermagsúly: 2,3-2,9 gramm |
|
Magszám: 345-435 db/gramm |
|
Vetésmélység: 1-2 cm |
|
Vetés ideje: III.-IV. hó |
|
Kiültetés ideje: V. hó |
|
Tenyészterület: 100x50x40 cm |
|
Csírázási idő: 8-12 nap |
